Инженерное оборудование — Насосное оборудование — Погружные насосы — Скважинные насосы — Скважинный насос LEO 4XR6/26-3
Скважинный насос LEO 4XR6/26-3
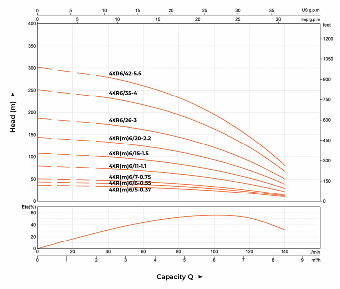
4XR6/26-3
Наличие и стоимость уточняйте у менеджера
Скважинный насос LEO 4XR6/26-3 — это высокоэффективное решение для перекачивания воды из скважин, обладающее мощными характеристиками. С вертикальным многоступенчатым конструкционным типом, этот погружной центробежный насос обеспечивает максимальный напор до 182 метров водного столба и расход до 8.4 м³/ч, что делает его идеальным для использования в системах водоснабжения и орошения.
Изготовленный из нержавеющей стали, насос гарантирует долговечность и устойчивость к коррозии, что особенно важно при длительной эксплуатации. Он работает с трехфазным электродвигателем и способен выдерживать максимальную температуру перекачиваемой жидкости до 50°C. Этот насос также имеет стандартное резьбовое соединение, что упрощает его установку и интеграцию в существующие системы. Выберите нужное оборудование у нас! А если затрудняетесь, инженеры Stoking бесплатно подберут идеальное решение, которое сэкономит ваше время и деньги!
| Бренд | Leo![]() |
| Конструкционный тип | Вертикальный |
| Вид насоса | Центробежный |
| Тип насоса | Погружной |
| Количество насосов | Одинарный |
| Напряжение питания, В | 380..420 |
| Максимальный расход Qmax, м³/ч | 8.4 |
| Максимальный напор, м.вод.ст. | 182 |
| Частота тока, Гц | 50 |
| Максимальная потребляемая мощность, Вт | 3000 |
| Максимальная температура перекачиваемой жидкости, °С | 50 |
| Стандарт трубного присоединения | Резьбовое |
| Выход насоса, мм | 40 |
| Диаметр насоса, дюйм | 4 |
| Перекачиваемая жидкость | Вода |
| Тип электродвигателя | Трехфазный |
| Корпус (материал) | Нержавеющая сталь |
| Вал (материал) | Нержавеющая сталь |
| Серия | XR |
| Наличие частотного преобразователя | Нет |
| Габариты без упаковки, см | 9.8x9.8x173.7 |
| Масса нетто, кг | 28.6 |
У данного товара нет отзывов. Станьте первым, кто оставит отзыв о товаре!
Пожалуйста, авторизируйтесь чтобы оставлять отзывы и оценки


